
Второй день без заболевших: ситуация с коронавирусом в школах и детсадах Николаевщины, - ДОКУМЕНТЫ

19 октября - второй день, когда в детских садах и школах Николаевской области не зафиксировано ни одного заболевшего как среди детей, так и среди сотрудников.
Об этом в Facebook сообщает Николаевская областная госадминистрация.
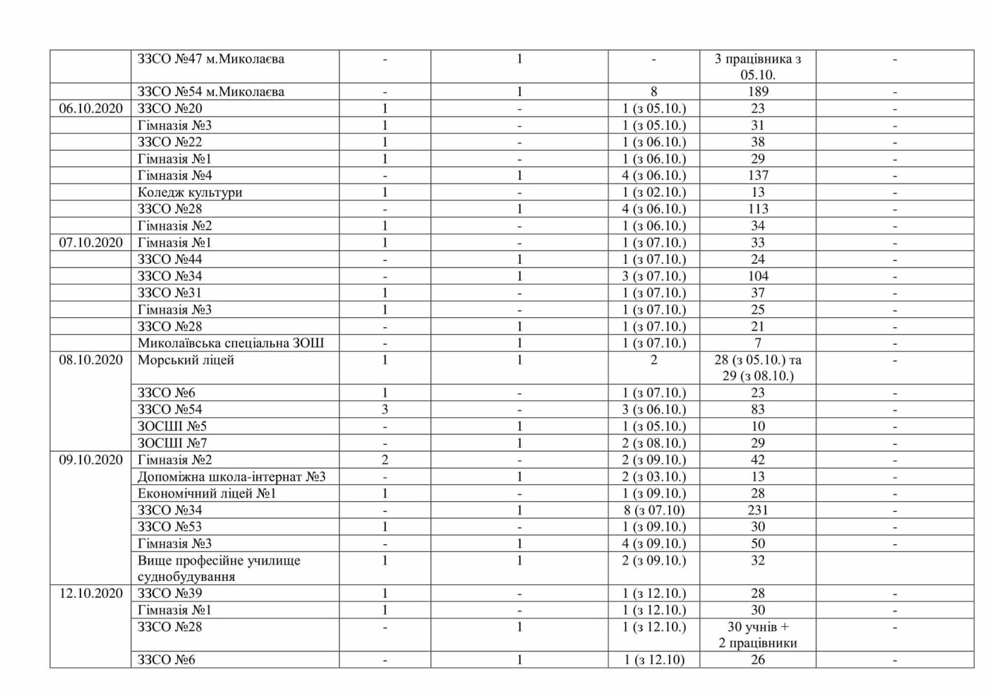
В детских садах области за последними данными заболело 11 детей. Коронавирус за все время диагностировали у 42 сотрудников. На самоизоляцию отправлено 42 детсадовские группы. Всего в детских садах на самоизоляции находится 899 человек. Это и дети, и их воспитатели. Закрыто 4 группы.
В школах с начала учебного года коронавирусом заболело 108 учеников и 131 учитель. На самоизоляцию отправили 334 класса. 9422 ученика и сотрудников школ находятся на самоизоляции. На дистанционное обучение с начала учебного года в Николаевской области перешло 23 школы.












Ранее здесь сообщалось, что в Николаевской области за последние сутки выявлено 147 новых случаев заражения коронавирусом.